
直流電橋法是至今仍廣泛應用的一種測距方法。它是基于電纜沿線均勻,電纜長度和纜芯電阻或正比的特點,將電纜短路接地故障點兩側的環線電阻引入直流電橋,測量其比值。電纜試驗直流電橋法如何測試高阻性故障?
直流電橋法高阻性故障的測量如下:
(1)低壓電橋測量。用低壓電橋測量高阻性故障必須首先將高電阻燒穿為低電阻。現場常采用高壓直流燒穿法,其接線與泄漏電流相同。用直流燒穿法可避免無功電流,僅供給流經故障點的有功電流,從而大大減小試驗設備的體積,適于現場應用。燒穿開始時,在幾萬伏電壓下保持幾毫安至幾十毫安電流,使故障電阻逐漸下降。此后,隨電流的增加應逐漸降低電壓,使在幾百伏電壓下保持幾安電流。在整個燒穿過程中電流應力求平穩,緩緩增大。由于用直流燒穿法較泄漏電流試驗的電流大,限流電阻不便使用,可以將操作回路的過流保護調整到滿足要求,注意試驗設備容量要足夠大,以免損壞。為避免給聲測法定點帶來困難,故障點對地電阻不宜降得太低,1kΩ左右即可。
(2)高壓直流電橋。對穩定性的高阻性接地故障,當采用高壓直流電橋測量時,仍然使用惠斯登電橋原理,其接線如圖一所示,只是結構上采用看滑線電阻R,調節滑動點C,使電橋平衡。由于滑線電阻的總數值是固定的,可使其為常數,從而簡化了計算,可由滑動點的位置直接得出到故障點的距離占電纜線路全長的比例。
圖一
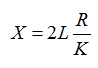
當電橋在c處等分處達到平衡時,故障點的距離為
式中:
R——滑線電阻的讀數;
L——電纜線路全長;
K——滑線電阻等分數。
使用高壓直流電橋要注意安全,對非試驗相的纜芯必須接地,以防產生感應高電壓。高壓直流電橋只適用于測量穩定性接地故障,不適于電纜在高壓直流下內部有放電的情況,因為這時電流忽大忽小,間隙性增大,甚至內部閃絡擊穿使電流劇增,不但測量難以進行,還會損壞檢流計,所以,接入電流表A監視電流,使測量電流穩定在10~20mA。