
1范圍
本作業指導書適用于6 kV及以上橡塑絕緣電力電纜線路,其目的是檢驗電纜線路的絕緣性能是否滿足有關標準的要求,規定了交接驗收、預防性試驗、檢修過程中的試驗項目的引用標準、儀器設備要求、作業程序、試驗結果判斷方法和試驗注意事項等。制定本作業指導書的目的是規范操作、保證試驗結果的準確性,為設備運行、監督、檢修提供依據。
2規范性引用文件
下列文件中的條款通過本作業指導書的引用而成為本作業指導書的條款。凡是注日期的引用文件,其隨后所有的修改單或修訂版均不適用于本作業指導書,然而,鼓勵根據本作業指導書達成協議的各方研究是否可使用這些文件的最新版本。凡是不注日期的引用文件,其最新版本適用于本作業指導書。
GB 11017額定電壓110 kV銅芯、鋁芯交聯聚乙烯絕緣電力電纜
GB 12706額定電壓35 kV及以下銅芯、鋁芯塑料絕緣電力電纜
3試驗項目
橡塑絕緣電力電纜的絕緣試驗包括以下試驗項目:
a) 絕緣電阻;
b) 交流耐壓。
4安全措施
a) 保證人身和設備安全,要求必須在試驗現場周圍設圍欄,被試電纜兩端均應專人監護,且通信暢通,負責升壓的人要隨時注意周圍的情況,一旦發現異常應立 刻斷開電源停止試驗,查明原因并排除后方可繼續試驗。
b) 在試驗過程中,如果發現電壓表指針擺動很大,電流表指示急劇增加,發出絕緣 燒焦氣味或冒煙或發生響聲等異?,F象時,應立即降低電壓,斷開電源,被試品進行接地放電后再對其進行檢查。
c) 進行絕緣電阻和交流耐壓試驗后,應對電纜充分放電。
d) 工作中如需使用梯子等登高工具時,應做好防止高空墜落的安全措施。
5工作程序
5.1 絕緣電阻試驗
5.1.1 設備清單和要求
a) 溫度計(誤差±1℃)、濕度計;
b)500V兆歐表1塊、2500V或5000V兆歐表1塊。
5.1.2作業程序
5.1.2.1測試方法
測量電纜的絕緣電阻是檢查其絕緣狀態的最基本和最簡便的方法。用兆歐表來測量設備的絕緣電阻,由于受到介質吸收電流的影響,兆歐表的指示值隨時間逐步增大,對電纜而言,通常讀取穩定值,作為工程上電纜的絕緣電阻值。一般對電纜的線芯對外屏蔽(即主絕緣)、外屏蔽對地(即外護套)及護層保護器都應進行絕緣電阻試驗。
5.1.2.2試驗步驟
a) 測量并記錄環境溫度和濕度。
b) 將所有被試部分充分放電。
c)將兆歐表地線端子用接地線和接地體連接好,用絕緣把手將兆歐表相線接觸被測量部位的引出端頭上,穩定后,記錄絕緣電阻值。拆離兆歐表相線,關兆歐表。
d) 將被測回路對地放電。
e) 測量其他部分。
5.1.3.3注意事項
在試驗中讀取絕緣電阻數值后,應先斷開接至被試品的連接線,然后再將兆歐表停止運轉,注意:電纜一般電容量較大,兆歐表最初讀數可能為零。
5.1.4試驗結果判斷依據
a) 對于110kV及以上電纜進行外護套絕緣電阻測試(必須在有外電極的條件下進行),每km絕緣電阻值不低于0.5MΩ(使用500V兆歐表);
b) 0.6/1kV以上等級電纜主絕緣的絕緣電阻測量采用2500V或5000V兆歐表,絕緣電阻標準自行規定。
5.2交流耐壓
5.2.1設備清單和要求
交流耐壓試驗可選用工頻耐壓試驗設備、工頻串聯諧振耐壓試驗設備或變頻串聯諧振耐壓試驗設備,設備電壓及容量由所試電纜的情況確定。
5.2.1.1工頻耐壓試驗設備
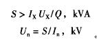
試驗變壓器:額定電流In大于試品所需電流Ix(估算公式為Ix=UωC);高壓側額定電壓Un應大于試驗所需電壓的1.2倍。
5.2.1.2工頻串聯諧振耐壓設備
a) 串聯電抗器:耐壓應高于試驗電壓Ux(kV);電感量應近似等于I/(ω2Cx)和額定電流應近似等于UωC。
b)試驗變壓器:額定電流In大于試品所需電流Ix(估算公式為Ix= UωC);容量和高壓側額定電壓Un可用下式估算:
c)調壓器:容量與試驗變壓器匹配。
5.2.1.3變頻串聯諧振耐壓試驗設備
a) 串聯電抗器:耐壓應高于試驗電壓Ux (kV);電感量和額定電流估算同工頻串聯諧振。
b) 試驗變壓器:額定電流In。大于試品所需電流Ix(估算公式同并聯諧振);容量和高壓側額定電壓Un。可用下式估算:
C) 調壓器:容量與試驗變壓器匹配。
5.2.1.4其他通用設備
a) 限流電阻:通常取 0.2一1 Ω/ V。對于諧振回路可不使用限流電阻。
b) 過電壓保護球隙:按高壓電氣設備絕緣試驗電壓和試驗方法規定選擇球隙和球徑。
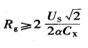
c) 球隙保護電阻:通常取1Ω/V。也可近似計算值為:
式中:
a――允許波頭的陡度,取a= 5 kV/μs
d) 交流電壓測量設備:根據試驗電壓選擇合適變比的分壓器(或電壓互感器)和合適量程的電壓表(如果采用諧振方法可使用普通電壓表),要求整體測量精度1.5級以上。
e) 2級毫安表1塊,量程大于Ix 。
5.2.2作業程序
5.2.2.1測試方法
a)根據相關規程或制造廠家的規定值確定試驗電壓,并根據試驗電壓和所試電纜的電容及長度選擇合適電壓等級的電源設備、測量儀表和保護電阻。如試驗電壓較高,則推薦采用串聯諧振以降低試驗電源的容量,試驗前應根據相關數據計算電抗器、變壓器的參數,以保證諧振回路能夠匹配諧振以達到所需的試驗電壓和電流。
b)試驗前先進行主絕緣電阻和交叉互聯、外護套的試驗,各項試驗合格后再進行本項試驗。
5.2.2.2試驗步驟
a) 檢查試驗電源、調壓器和試驗變壓器正常。按接線圖準備試驗,保證所有試驗設備、儀表儀器接線正確、指示正確。
b) 一切設備儀表接好后,在空載條件下調整保護間隙,其放電電壓為試驗電壓的110%~120%范圍內(如采用串聯諧振,需要另外的變壓器調整保護間隙)。并調整試驗電壓在高于試驗電壓5%下維持2min后將電壓降至零,拉開電源。
c)經過限流電阻R在高壓側短路,調整過流保護跳閘的可靠性。
d) 電壓和電流保護調試檢查無誤,各種儀表接線正確后,即可將高壓引線接到被試繞組上進行試驗。
e) 升壓必須從零開始,升壓速度在40%試驗電壓以內可不受限制,其后應均勻升壓,速度約每秒3%的試驗電壓。升至試驗電壓后維持規程所規定時間。
f) 將電壓降至零,拉開電源,該試驗結束。
5.2.2.3試驗結果判斷依據
如果試驗中未發生擊穿放電現象,則認為試驗通過。
5.2.2.4注意事項
a) 試驗前應明確耐壓值按制造廠的規定還是按規程規定。
b) 電纜交流耐壓時間較長,試驗期間應注意試驗電流的變化,試驗前后應測量主絕緣的絕緣電阻。